Nhựa Polycarbonate là gì ?

Nhựa Polycarbonate là gì ?

Polycarbonate là một loại nhựa nhiệt dẻo được cấu thành từ các hạt Polymer liên kết với các nhóm cacbonat. Thuộc tính Poly điển hình là chịu lực, chịu nhiệt, chống cháy và truyền sáng tốt.

I. Khái niệm Polycarbonate là gì? 

Polycarbonate là một loại nhựa tổng hợp hay còn là Polymer nhựa nhiệt dẻo được cấu tạo từ nhiều đơn vị Polymer liên kết với nhau thông qua các nhóm cacbonat.

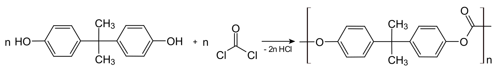
Cụ thể hơn, Polycarbonate được sản xuất từ phản ứng giữa bisphenol A (BPA) và Phosgene (COCl2). Trải qua nhiều quá trình xử lý và phản ứng polycacbonate được sản xuất có thể lên đến số lượng 1 tỷ kilogram polycacbonate mỗi năm.

Cấu tạo hóa học của polycarbonate
Cấu tạo hóa học của polycarbonate

Nhựa Polycarbonate thường dễ uốn nóng, đúc hay chế tác nên được ứng dụng rộng rãi trong nhiều thiết bị, làm vật liệu lợp mái, vách ngăn, biển quảng cáo,…

Nhựa kính polycarbonate cường lực Asia Lite - Sản xuất từ 100% hạt nhựa nguyên sinh Maroklon(Đức), Lotte(Hàn Quốc)
Nhựa kính polycarbonate cường lực Asia Lite – Sản xuất từ 100% hạt nhựa nguyên sinh Maroklon(Đức), Lotte(Hàn Quốc)

II. Các thuộc tính Polycarbonate

  1. Khả năng chịu lực

Polycarbonate là loại nhựa đặc biệt sở hữu đặc tính cơ học tốt, độ bền cao và khả năng chịu lực vượt trội. Độ cứng, khả năng chịu lực vật liệu còn dựa vào độ dày tấm, tấm càng dày sẽ cho khả năng chịu va đập càng tốt. Ngoài ra, tính chịu lực vật liệu Polycarbonate còn phụ thuộc vào cấu trúc và cách lắp đặt tấm.

Thông thường, tấm Polycarbonate từ 6mm trở lên đã cho khả năng chịu lực rất tốt, vật liệu cho phép chịu được tải trọng lớn cũng như chống biến dạng, nứt vỡ hiệu quả trước những va chạm mạnh mẽ từ môi trường bên ngoài bao gồm gió bão, cây cối rơi phải, mưa đá.

Đặc biệt, vật liệu Polycarbonate còn có tính chất chống lại tác động tia cực tím giúp bảo vệ tối đa con người, vật dụng, không gian trước cái nắng gay gắt mặt trời chiếu vào.

  1. Khả năng chịu nhiệt

Điểm dịch chuyển lỏng rắn của Poycarbonate vào khoảng 147°C, nếu vượt quá nền nhiệt này độ mềm của Polycarbonate sẽ tỉ lệ thuận với độ tăng của nhiệt và hóa lỏng hoàn toàn khi nhiệt độ đạt 155 °C.

Cũng chính vì thuộc tính này mà dụng cụ sản xuất Polycarbonate phải đảm bảo nền nhiệt trên 80 °C để tránh tình trạng tấm nứt, vỡ trong quá trình sản xuất.

Không giống tính chất hầu hết các loại nhựa dẻo hiện nay, Polycarbonate dễ dàng trải qua các biến dạng nhựa lớn mà không bị nứt hoặc vỡ. Do đó, tấm có thể được sản xuất, hình thành ở nhiệt độ phòng bằng các kỹ thuật kim loại tấm như uốn trên phanh.

  1. Tính chất khác

Mặc dù vật liệu Polycarbonate cho độ bền cao, chịu lực tốt nhưng vật liệu lại chống xước rất kém. Khắc phục nhược điểm này, các nhà máy sản xuất ngày nay đã nghiên cứu và phủ lên trên bề mặt tấm một lớp chống trầy.

Về độ truyền sáng, Polycarbonate cho phép ánh sáng xuyên qua rất tốt, thậm chí tốt hơn với một số loại kính ngày nay.

Nhựa polycarbonate truyền sáng rất tốt
Nhựa polycarbonate truyền sáng rất tốt

III. Bảng thông số các thuộc tính Polycarbonate

Thuộc tính vật lý

Khối lượng riêng1,20–1.22 g/cm³
Số Abbe34.0
Chiết suất1.584-1.586
Tính dễ cháyV0-V2
Chỉ số Ôxy giới hạn25–27%
Độ hấp thụ ion Hydroxyl – Cân bằng hóa học ASTM quốc tế0.16–0.35%
Độ hấp thụ ion Hydroxyl – hơn 24 giờ0.1%
Kháng bức xạFair
Tử ngoại Kháng bức xạFair

Thuộc tính cơ học

Mô-đun của Young2.0–2.4 GigaPascal (đơn vị)
Độ bền kéo (σt)55–75 MêgaPa
Strain trong Toàn vẹn và phá vỡ cấu trúc80–150%
Cường độ nén>80 MPa
Hệ số Poisson0.37
Độ cứng – hệ thống đo RockwellM70
Kiểm tra cường độ va đập của Izod600–850 Joule/m
Sự thử va đập Charpy20–35 KilôJ/m²
Kháng mài mòn – ASTM International D104410–15 MiliGam/1000 Rotation
Hệ số ma sát0.31
Vận tốc âm thanh2270 m/s

Thuộc tính nhiệt

Nhiệt độ nóng chảy155 °C (311 °F)
Nhiệt độ chuyển tiếp thủy tinh147 °C (297 °F)
Nhiệt độ lệch nhiệt+0.45 MPa: 140 °C (284 °F)

+1.8 MPa: 128–138 °C (262–280 °F)

Nhiệt độ hóa mềm Vicat at 10 kNewton (đơn vị)145 °C (293 °F)
Nhiệt độ hoạt động cao115–130 °C (239–266 °F)
Nhiệt độ hoạt động thấp−40 °C (−40 °F)
Độ dẫn nhiệt at 23 °C0.19–0.22 Watt/(m·K)
Sự dẫn nhiệt at 25 °C0.144 mm²/s
Hệ số giãn nở tuyến tính65–70 × 10−6/Kelvin
Nhiệt dung riêng1.2–1.3 kJ/(Kilôgam·K)

Tính chất điện

Hằng số điện môi2.9
Sự thẩm thấu2.568 × 10−11 Farad/m
Tính thấm tương đối at 1 MHz0.866(2)
Tính thấm at 1 MHz1.089(2) MicrôN/Ampe2
Hệ số giãn nở at 1 Hertz0.01
Surface Điện trở suất1015 Ohm/sq
Volume Điện trở suất1012–1014 Ohm·m
Màu sắc nhựa kính polycarbonate cường lực do Top Asia sản xuất
Màu sắc nhựa kính polycarbonate cường lực do Top Asia sản xuất

IV. So sánh Polycarbonate với vật liệu khác

Nếu so với polymethyl methacrylate (PMMA, được làm từ polige), các tính chất khác của Polycarbonate cũng gần giống với vật liệu này nhưng độ cứng cao hơn và chịu nhiệt tốt hơn.

Còn khi so sánh với PMMA / Acrylic, mặc dù có bề mặt trong suốt gióng như Polycarbonate nhưng lại giòn và không thể uốn cong ở nhiệt độ phòng.

V. Ứng dụng tấm Polycarbonate

  1. Linh kiện điện tử

Polycarbonate được ứng dụng chủ yếu trong sản xuất linh kiện điện tử nhờ tính chất cách điện, chịu nhiệt tốt và chống cháy vượt trội.

Cụ thể hơn, Polycarbonate được ứng dụng trong sản xuất phần cứng điện và viễn thông. Trong các tụ điện, Polycarbonate đóng vai trò như chất điện môi mang lại độ ổn định cao. Tuy nhiên, việc sản xuất thương mại tụ điện Polycarbonate ngày nay gần như đã dừng lại sau khi nhà sản xuất duy nhất Bayer AG ngừng sản xuất màng Polycarbonate cấp tụ điện vào cuối năm 2000.

Polycarbonate làm linh kiện điện điện tử
Polycarbonate làm linh kiện điện điện tử
  1. Vật liệu xây dựng

Ứng dụng vào ngành xây dựng, Polycarbonate có thể làm đèn chiếu, kính phẳng, kính cong và tường cách âm, vách ngăn. Đây là một trong những ứng dụng lớn thứ 2 của loại nhựa này.

Nhựa polycarbonate làm mái bể bơi
Nhựa polycarbonate làm mái bể bơi
Nhựa polycarbonate làm tường cách âm đường cao tốc
Nhựa polycarbonate làm tường cách âm đường cao tốc
  1. Lưu trữ dữ liệu

Một trong những ứng dụng phổ biến khác của Polycarbonate là sản xuất Đĩa Compact, DVD và Blu-ray.

Để sản xuất các loại đĩa này, Polycarbonate trải qua quá trình xử lý ép phun vào một khoang khuôn có một mặt là máy dập kim loại chứa hình ảnh âm bản của dữ liệu đĩa, trong khi mặt kia là bề mặt, được nhân đôi.

Hiện có các sản phẩm tiêu biểu vật liệu Polycarbonate trong sản xuất tấm/phim làm quảng cáo, tức làm bảng hiệu, màn hình, bảo vệ áp phích).

Nhựa polycarbonate làm đĩa CD
Nhựa polycarbonate làm đĩa CD
  1. Ứng dụng ngành ô tô, máy bay và an ninh

Trong ngành công nghiệp ô tô, Polycarbonate được đúc phun nên tạo ra bề mặt bóng mịn, rất phù hợp trong việc lắng đọng phun xạ hoặc lắng đọng bay hơi của nhôm mà không cần lớp phủ.

Do trọng lượng nhẹ, khả năng chống va đập cao nên vật liệu Polycarbonate được ứng dụng rộng rãi trong sản xuất thấu kính đèn pha ô tô. Tuy nhiên, do yêu cầu sản xuất chống xước và chống ố vàng, trong khi tấm Polycarbonate lại dễ bị tia cực tím phân hủy thành màu ố nên ứng dụng làm kính ô tô ngày nay cũng khá hạn chế đặc biệt là ứng dụng ứng suất thấp.

Polycarbonate có thể được dát mỏng để làm kính chống đạn trong ô tô.

Một số ứng dụng tấm Polycarbonate độ dày lớn khác thì được ứng dụng trong lắp đặt vách ngăn, cửa sổ, thanh chắn tại các quầy giao dịch viên ngân hàng, khách sạn, nhà hàng,…

Nắp buồng lái của máy bay chiến đấu phản lực Lockheed Martin F-22 Raptor được làm từ một mảnh polycarbonate chất lượng quang học cao, và là mảnh lớn nhất của loại này được hình thành trên thế giới.

Nhựa Polycarbonate làm khiên chống bạo động
Nhựa Polycarbonate làm khiên chống bạo động
  1. Ứng dụng y tế

Nhiều loại Polycarbonate được ứng dụng y tế tuân theo tiêu chuẩn ISO 10993-1 và USP Class VI (đôi khi được gọi là PC-ISO). Trong đó, hạng VI là hạng nghiêm ngặt nhất trong sáu xếp hạng USP.

Được biết, các lớp Polycarbonate có thể được khử trùng bằng hơi nước ở 120   °C, bức xạ gamma, hoặc bằng phương pháp etylen oxit (EtO). Dow Chemical giới hạn nghiêm ngặt tất cả các loại nhựa của mình đối với các ứng dụng y tế.

Nhựa polycarbonate béo đã được phát triển với khả năng tương thích sinh học và khả năng phân hủy được cải thiện cho các ứng dụng y học nano.

Kết luận

Với những thuộc tính Poly chịu lực, chịu nhiệt mang lại, vật liệu hứa hẹn sẽ thay thế kính trong tương lai cũng như trở thành tấm lợp mái chắn nắng hàng đầu. Tại Việt Nam, Top Asia là đơn vị duy nhất trên thị trường sản xuất được tấm poly có độ dày 18mm. Các sản phẩm tấm poly được cam kết đạt tiêu chuẩn số 1 thị trường về độ bền, thuộc tính Polycarbonate vượt trội cũng như thẩm mỹ đẹp. Liên hệ ngay với Top Asia để được tư vấn kỹ hơn về sản phẩm.

Địa chỉ liên hệ:

Địa chỉ: KCN Hoàng Gia – Mỹ Hạnh Nam – Đức Hòa – Long An

Hotline: 0896 699 996

Email: topasiaplastic@gmail.com

Youtube:  https://www.youtube.com/@topasiavn